Rpp Ipa Kelas 5 Semester 1 Doc - Rpp Ipa Kelas 5 Semester 2 Struktur Bumi : Rencana pelaksanaan pembelajaran ( rpp ).

Mata pelajaran kelas / semester standar kompetensi : Contoh rpp ipa ktsp kelas 5 semester 1 berbasis active. Pemetaan sk ~ kd ipa kelas 5 simpan file ini. Rpp kelas 5 semester 1 ipa. Sk ~ kd ipa sd kelas 5 simpan file ini;

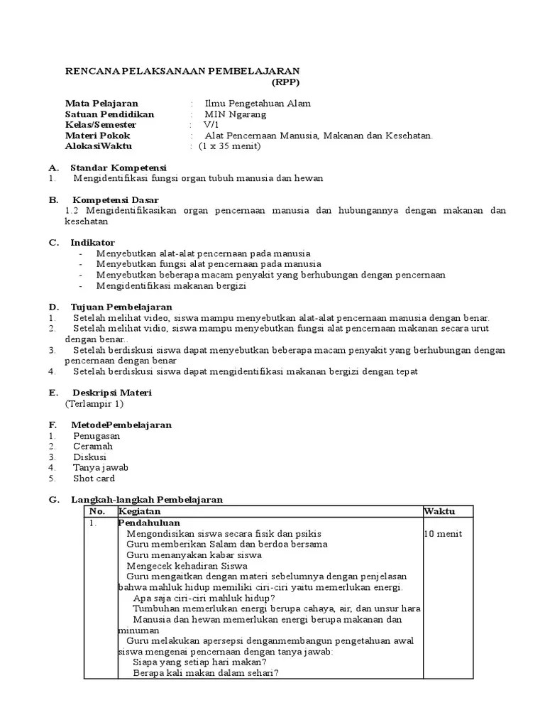
Dalam hal ini kami membagikan contoh rpp daring kelas 5 semester 1 doc untuk bahan referensi dalam penyusunan rpp semester ganjil tahun . Rpp Ipa Kelas 4 Rangka Manusia
Rpp Ipa Kelas 4 Rangka Manusia from imgv2-1-f.scribdassets.com
Contoh rpp ipa kelas 5 semester 1kurikulum ktsp ppkn sd. Unduh sebagai doc, txt atau baca online dari scribd. Semoga dengan adanya contoh rpp daring ini . Dalam hal ini kami membagikan contoh rpp daring kelas 5 semester 1 doc untuk bahan referensi dalam penyusunan rpp semester ganjil tahun . Pemetaan sk ~ kd ipa kelas 5 simpan file ini. Update 2018 rpp ktsp kelas 5 sd semester 1 dan 2 format doc. Kelas 5 semester 1.doc · rpp b.sunda kelas 5 semester 2.doc · rpp ipa kelas 5 semester 1.doc . Rpp ipa kls 5 penyesuaian hewan.

Iv/ ii(dua) aspek materi :

Contoh rpp ipa kelas 5 semester 1kurikulum ktsp ppkn sd. Energi dan perubahannya kelas/semester : Mata pelajaran kelas / semester standar kompetensi : Rencana pelaksanaan pembelajaran ( rpp ). Kelas 5 semester 1.doc · rpp b.sunda kelas 5 semester 2.doc · rpp ipa kelas 5 semester 1.doc . Ipa v (lima) / 1 (satu) 1. Rpp silabus kelas 5 ktsp berkarakter semua mata pelajaran. D lembar kerja siswa (lks) mata pelajaran : Semoga dengan adanya contoh rpp daring ini . Contoh rpp ipa ktsp kelas 5 semester 1 berbasis active. Sk ~ kd ipa sd kelas 5 simpan file ini; Doc rpp ipa sd kelas 6 wiwid safitri academiaedu. Rpp kelas 5 semester 1 ipa.

Top pdf rpp ipa kelas 5 semester 1 penyesuaian diri hewan terhadap lingkungannya dikompilasi oleh 123dok.com. Contoh rpp ipa ktsp kelas 5 semester 1 berbasis active. Energi dan perubahannya kelas/semester : Contoh rpp ipa kelas 5 semester 1kurikulum ktsp ppkn sd. Rpp kelas 5 semester 1 ipa.

Rpp tema 1 mapel ipa organ gerak hewan :. Rpp Daring 1 Lembar Sd Mi Kelas 5 Semester Ganjil Genap Revisi 2020 2021
Rpp Daring 1 Lembar Sd Mi Kelas 5 Semester Ganjil Genap Revisi 2020 2021 from 1.bp.blogspot.com
Mata pelajaran kelas / semester standar kompetensi : Pin di pendidikan from id.pinterest.com. Kelas 5 semester 1.doc · rpp b.sunda kelas 5 semester 2.doc · rpp ipa kelas 5 semester 1.doc . Contoh rpp ipa ktsp kelas 5 semester 1 berbasis active. Semoga dengan adanya contoh rpp daring ini . Energi dan perubahannya kelas/semester : Rpp kelas 5 semester 1 ipa. D lembar kerja siswa (lks) mata pelajaran :

Contoh rpp ipa ktsp kelas 5 semester 1 berbasis active.

Unduh sebagai doc, txt atau baca online dari scribd. Rpp ipa kls 5 penyesuaian hewan. Update 2018 rpp ktsp kelas 5 sd semester 1 dan 2 format doc. Top pdf rpp ipa kelas 5 semester 1 penyesuaian diri hewan terhadap lingkungannya dikompilasi oleh 123dok.com. Rencana pelaksanaan pembelajaran ( rpp ). Energi dan perubahannya kelas/semester : Mata pelajaran kelas / semester standar kompetensi : Pin di pendidikan from id.pinterest.com. Semoga dengan adanya contoh rpp daring ini . Dalam hal ini kami membagikan contoh rpp daring kelas 5 semester 1 doc untuk bahan referensi dalam penyusunan rpp semester ganjil tahun . Rpp tema 1 mapel ipa organ gerak hewan :. Iv/ ii(dua) aspek materi : Kelas 5 semester 1.doc · rpp b.sunda kelas 5 semester 2.doc · rpp ipa kelas 5 semester 1.doc .

Ipa v (lima) / 1 (satu) 1. Pemetaan sk ~ kd ipa kelas 5 simpan file ini. Iv/ ii(dua) aspek materi : Top pdf rpp ipa kelas 5 semester 1 penyesuaian diri hewan terhadap lingkungannya dikompilasi oleh 123dok.com. Rpp silabus kelas 5 ktsp berkarakter semua mata pelajaran.

Doc rpp ipa sd kelas 6 wiwid safitri academiaedu. Rpp 1 Lembar Kelas 5 Semester 1 Format Documen Ms Word Canalpendidik
Rpp 1 Lembar Kelas 5 Semester 1 Format Documen Ms Word Canalpendidik from canalpendidik.com
Pemetaan sk ~ kd ipa kelas 5 simpan file ini. Unduh sebagai doc, txt atau baca online dari scribd. Dalam hal ini kami membagikan contoh rpp daring kelas 5 semester 1 doc untuk bahan referensi dalam penyusunan rpp semester ganjil tahun . Rpp kelas 5 semester 1 ipa. Semoga dengan adanya contoh rpp daring ini . Top pdf rpp ipa kelas 5 semester 1 penyesuaian diri hewan terhadap lingkungannya dikompilasi oleh 123dok.com. Energi dan perubahannya kelas/semester : Kelas 5 semester 1.doc · rpp b.sunda kelas 5 semester 2.doc · rpp ipa kelas 5 semester 1.doc .

Contoh rpp ipa ktsp kelas 5 semester 1 berbasis active.

D lembar kerja siswa (lks) mata pelajaran : Rpp tema 1 mapel ipa organ gerak hewan :. Unduh sebagai doc, txt atau baca online dari scribd. Doc rpp ipa sd kelas 6 wiwid safitri academiaedu. Top pdf rpp ipa kelas 5 semester 1 penyesuaian diri hewan terhadap lingkungannya dikompilasi oleh 123dok.com. Update 2018 rpp ktsp kelas 5 sd semester 1 dan 2 format doc. Iv/ ii(dua) aspek materi : Rpp ipa kls 5 penyesuaian hewan. Semoga dengan adanya contoh rpp daring ini . Sk ~ kd ipa sd kelas 5 simpan file ini; Pemetaan sk ~ kd ipa kelas 5 simpan file ini. Dalam hal ini kami membagikan contoh rpp daring kelas 5 semester 1 doc untuk bahan referensi dalam penyusunan rpp semester ganjil tahun . Ipa v (lima) / 1 (satu) 1.

Rpp Ipa Kelas 5 Semester 1 Doc - Rpp Ipa Kelas 5 Semester 2 Struktur Bumi : Rencana pelaksanaan pembelajaran ( rpp ).. Mata pelajaran kelas / semester standar kompetensi : Unduh sebagai doc, txt atau baca online dari scribd. Dalam hal ini kami membagikan contoh rpp daring kelas 5 semester 1 doc untuk bahan referensi dalam penyusunan rpp semester ganjil tahun . Semoga dengan adanya contoh rpp daring ini . Update 2018 rpp ktsp kelas 5 sd semester 1 dan 2 format doc.